
2-N-乙酰氨基糖苷广泛分布于生命有机体,常以糖脂、糖蛋白和糖胺聚糖等形式存在。为了更好地研究2-N-乙酰氨基糖苷在参与具体生理活动过程中的作用机制,越来越多的科学家开始关注乙酰氨基糖类似物的替代效能和衍生功能。近年来,非天然的C-支链去氧糖作为合成子已广泛用于天然产物和寡糖苷的全合成中,同时作为核糖类似物也有参与调节核苷的细胞毒性。研究也发现,2-C-丙酮基-2-去氧糖作为2-N-乙酰氨基糖的碳支链电子等排体,可以通过细胞内糖生物合成途径或者细胞外突变糖基转移酶催化,在细胞表面或细胞外寡糖、糖蛋白以及肽聚糖等糖缀合物中表达。
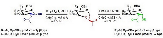
中国科学院成都生物研究所天然产物研究中心邵华武研究员课题组与加拿大国家研究院合作,在具有生物活性糖类化合物的设计、合成及活性研究等方面进行了系统的探索,取得了一系列原创性研究成果。他们发现1,2-环丙烷糖类作为糖基供体,在路易斯酸的催化下,能够与一系列如寡糖、氨基酸和醇类等糖基受体反应,得到2-C-支链寡糖及其衍生物。对于半乳糖供体,当催化剂为TMSOTf时,得到α-构型为主的产物;而当催化剂为BF3·Et2O时,则主产物为β-构型。但对于葡萄糖供体来说,这两种条件下都只得到β-构型的产物。由此说明糖基供体和路易斯酸的活性决定了糖基化反应的立体选择性,这为其反应机理提供了有力的依据。通过分析推断半乳糖供体在强路易斯酸(TMSOTf)催化下经历SN1途径,在弱路易斯酸(BF3·OEt2)条件下则经历SN2途径;但对于葡萄糖供体则只经历SN2途径。此外,2-C-丙酮基与端基正离子形成的缩酮中间体也对糖基化反应的立体选择性有着重要影响。
相关成果先后在Org. Lett. (2010, 12, 540-543) 和J. Org. Chem. (2011, 76, 1045-1053) 上发表。
