
有机小分子催化不对称串联反应已经被证明是构建复杂手性分子最有效的方法之一,并且具有反应条件温和、环境友好和易于操作等优点。近年来,有机小分子催化烯醛参与的不对称串联反应已经取得了很大的进展,发展出了许多可高效构建具有多手性中心和多官能团复杂结构化合物的方法。与之相比,有机小分子催化炔醛参与不对称串联反应的研究进展却十分缓慢,其根源在于炔醛分子中的C-C三键具有很大的化学和立体选择性操控难度。
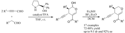
中科院成都生物所天然产物中心孙健课题组发现了一类新型的有机小分子催化炔醛自身缩合反应,并且成功的将这一反应和氧杂Diels-Alder反应组合,发展了一类新型的有机催化串联不对称反应方法,该方法可快速构建新型的多取代手性3,4-二氢吡喃,并获得了优良的收率、中等以上的非对映选择性(达9:1的dr值)和高对映选择性(达92%的ee值)。进一步的机理研究证明该方法中关键的炔醛自身缩合反应是经过有机小分子催化炔水合途径实现的。
这一工作被发表在著名化学期刊Organic Letters (Org. Lett. 2013, 15, 204-207)上。该工作发表之后立即受到了国际同行的关注,并被Benjamin List教授在Synfacts (Synfacts 2013, 9, 334)专题评述。
