重庆研究院3D打印技术研究团队提出了一种激光原位增材制造纳米复合材料的新策略,可有效解决现有工艺制备纳米复合材料时纳米相极易团聚、界面结合不强、综合性能欠佳等问题。相关工作已在《Scripta Materialia》、《Materials Science and Engineering A》、《Materials & Design》等国际著名期刊发表。其中,题为“Microstructure and mechanical properties of TiC/Ti6Al4V nanocomposites fabricated by gas–liquid reaction laser powder bed fusion”的研究论文被全球著名科技媒体机构Advances in Engineering(AIE)遴选为关键科学文章,并进行了专题报道(AIE每周从全球所有发表论文中仅遴选出20篇左右进行报道)。
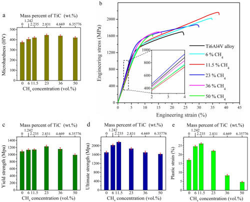
该新策略为:激光增材制造过程中,引入可反应气体与金属熔体原位反应生成纳米增强相,并利用熔池动力学特性与金属基体均匀复合,逐层制造出增强相分布均匀、界面结合好、综合性能优异的纳米相增强金属基复合材料,同时可近净成形出形状复杂的一体化结构。尤其是,纳米相增强金属基复合材料的强度和塑性(韧性)同时得到显著提升,打破了传统金属材料强度和塑性难以兼得的困境。例如,TiC/Ti6Al4V纳米复合材料压缩极限强度提高27.4%的同时塑性提高54.1%。新策略在材料表面硬化与强化、内部渗碳/渗氮、高强高韧结构件、轻质高强结构件、功能梯度材料等领域具有广阔的应用前景。
上述工作得到国家自然科学基金、重庆市自然科学基金、中国科学院“西部青年学者”项目资助。
相关论文链接:
https://doi.org/10.1016/j.msea.2023.144829
https://doi.org/10.1016/j.scriptamat.2020.06.057
https://doi.org/10.1016/j.matdes.2021.109578
https://doi.org/10.1016/j.jallcom.2021.163406
图1. TiC/Ti6Al4V复合材料的EDS和TEM分析
图2. 不同CH4浓度气氛中制备的TiC/Ti6Al4V复合材料的硬度和压缩性能
