近日,我院大数据中心尚明生研究员与重庆医科大学王伟教授等学者合作,在《Physics Reports》发表题为“高阶网络上流行病传播”(Epidemic spreading on higher-order networks )长篇综述论文。这是我院在该期刊发表的首篇论文。论文总结了高阶网络上流行病传播的最新研究进展,讨论了这一新兴领域所面临的挑战和有待解决的问题。论文可为涉及公共卫生、社会科学、网络舆情、计算机病毒传播以及数字营销等多个领域的研究者和决策者提供参考。
在现代社会,SARS、埃博拉病毒、COVID-19等流行病的传播对人类健康和全球经济发展构成严重威胁。这些流行病迅速传播和爆发的一个重要原因是个体之间的高频率密切接触。深入了解个体的相互作用模式、正确的建模和量化潜在的接触网络,可以为疫情控制提供科学依据和决策支持,具有深远的社会经济意义。首先,能有效地维护个体的生命财产安全,为社会创造更为稳定的健康环境;其次,为政府和卫生机构降低防控成本,保障社会正常运转;最后,帮助企业更好地应对经济风险,提高社会的抗风险能力。
图 1 高阶交互表示形式
复杂网络(或图)被应用于表示网络结构,为复杂场景下两两交互的研究提供了强大工具。事实上,许多实证系统表现出高阶交互,其中主体之间的互动不仅发生在两两之间,还涉及到群体层面的集体行为。例如,社会系统中超级传播事件,神经科学涉及多个神经元的触发事件,科学中的共同作者关系,以及生物学中的蛋白质相互作用。因此,高阶网络,包括超图和单纯复形,作为更好的工具来描绘真实和人工系统中的集体行为,自然地将两两交互的范式扩展到高阶交互(图1)。致力于研究流行病传播在高阶网络上的相互作用机制,科学家们发现高阶相互作用的引入从根本上改变了传播动力学,导致了双稳态、爆炸性转变和迟滞回线等现象(图2和图3)。此外,高阶交互的存在还深刻地影响着如信息扩散、掩护博弈、渗流和同步等各种动力学过程。
图2 超图上的社会传染结果显示出多稳定性和间歇性
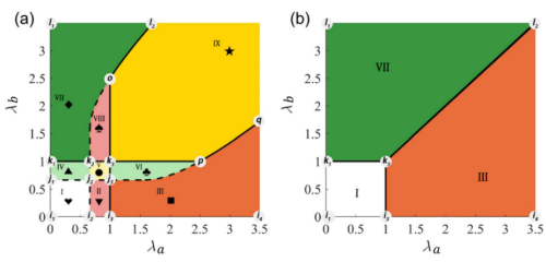
图3 单纯复形上竞争型流行病传播的相图
该文阐述了高阶网络上流行病传播的最新研究进展,并强调在统计物理和网络科学领域的贡献。该文将流行病传播分为单一传播和交互传播两大类,详细介绍相应的数学模型、理论方法、临界现象、相变、传播机制和影响,并讨论了该领域面临的挑战和未来研究的开放问题。文中指出,单一传播和交互传播的流行病之间会呈现不同的传播现象。单一流行病在简单网络中传播时,点对感染率是决定爆发阈值和感染范围的决定性因素,系统呈现出简单地相变过程。在高阶网络中,高阶交互使得系统出现双稳态、爆炸性转变和迟滞回线(图4)。对于交互的流行病,可能呈现出竞争、合作以及非对称的交互形式。竞争作用中的高阶交互更容易导致一种流行病的完全灭绝。协同作用中,高阶交互可能进一步促进流行病的全球爆发。而非对称作用往往被用来描述防疫信息和流行病传播的交互。高阶交互能有效促进信息的传播同时抑制疫情的传播。最后,论文总结了在高阶网络上的流行病传播领域的代表性进展,并讨论了这一新兴领域所面临的挑战和有待解决的问题。
图4 二阶单纯复型上社会传染相图出现双稳态区域
大数据与先进计算方法的结合,为构建数据主导的高阶传播模型开辟了新的途径。高阶传播模型可以进一步反映网络拓扑的复杂性以及真实世界传播现象固有的动态性,为涉及公共卫生、社会科学、舆情预测以及数字营销等各个领域的决策者提供关键的见解(图5)。通过捕捉动力学系统中固有的非线性动力学、复杂相互作用、网络结构和随机性,高阶模型提供更准确的预测和干预,更好地代表个体的适应行为、时间变化和空间维度,为影响行为和管理疾病传播提供更有效的策略。
图 5 高阶网络上的社会传播模型。(a)竞争型广告交互模型。(b)通过屏幕转发的行为传播模型。
论文信息: Wei Wang , Yanyi Nie, Wenyao Li , Tao Lin , Ming-Sheng Shang?, Song Su?, Yong Tang, Yi-Cheng Zhang , Gui-Quan Sun*,Epidemic spreading on higher-order networks, Physics Reports 1056 (2024) 1–70. 论文全文链接:https://www.sciencedirect.com/science/article/pii/S0370157324000176?dgcid=author
期刊简介:《Physics Reports》最新影响因子为30,是物理科学和交叉科学类最具国际影响力的期刊之一,发表相关领域内各研究方向的综述论文。由期刊编辑邀约在领域内做出突出贡献的领军团队撰稿,旨在对当前研究热点进行总结和评述,引领和展望相关领域的未来发展。
