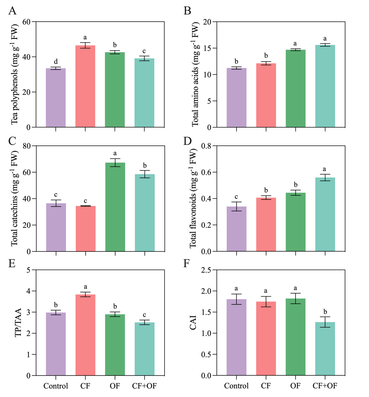
施肥措施可影响茶叶品质相关的代谢过程。过量施用化肥可导致茶叶品质的降低;随着人们对有机食品的需求日益高涨,只施用有机肥是否能达到最高的茶叶品质?为回答该问题,中国科学院成都生物研究所尹春英研究团队以老川茶为试验对象,设置无肥(CK)、化肥 (CF)、有机肥(OF)及化肥与有机肥联合施用(CF+OF)四种处理,测定了茶叶中多酚、氨基酸、黄酮、儿茶素及咖啡因等关键品质成分含量,分析了决定茶叶品质的酚氨比和儿茶素苦涩味指数,以探究化肥和有机肥对茶叶品质的影响及对其调控机理。
研究结果显示:与对照相比,所有施肥处理均显著提高了黄酮(化肥、有机肥及其联合施用处理分别提高了19.70、29.41和64.56%)和多酚(化肥、有机肥及其联合施用处理分别提高了38.90、27.19和16.81%)含量。OF及CF+OF处理提高了茶叶中氨基酸(分别为30.82和38.92%)和儿茶素(分别为84.25和60.39%)含量,但CF处理显著降低了儿茶素含量。因此,CF+OF处理下茶叶具有更低的苦涩味指数和酚氨比,故有更高的茶叶品质,OF处理对苦涩味指数和酚氨比无显著影响,但CF处理下茶叶更高的酚氨比将可能导致苦涩味加重。
并进一步通过转录组学揭示了施肥影响茶叶品质的分子机制:主要通过调控黄酮类生物合成途径中的关键基因,如PAL、4CL、C4H、CHS来调节类黄酮化合物和儿茶素的含量。CF+OF处理通过促进DFR2、ANS3和ANR2的表达,进而促进了儿茶素的主要组分EGC和EGCG等的积累,最终增加了总儿茶素的含量。这些关键基因的上调表达,不仅增强了茶叶中抗氧化活性物质的含量,还提升了茶叶的口感和风味。
上述结果不仅为茶树栽培管理提供重要依据,也为通过分子手段改良茶叶品质提供科技支撑。相关研究成果以 “Combined application of organic and chemical fertilizers improved the catechins and flavonoids biosynthesis involved in tea quality” 为题,发表于经典期刊Scientia Horticulturae(论文链接: https://doi.org/10.1016/j.scienta.2024.113518)。成都生物研究所博士研究生Ali Raza和陈超群为论文的共同第一作者,通讯作者为尹春英研究员。该项研究得到国家自然基金(No. 32071500)和中国科学院战略先导专项 (XDA26010102)等项目资助。

图 1 不同施肥处理对茶叶多酚、氨基酸、儿茶素和黄酮含量、酚氨比(TP/TAA)及儿茶素涩味指数(CAI)的影响

图 2 施肥处理对茶叶中黄酮类生物合成途径的调控

图 3 不同施肥处理下茶叶品质及调控机制
