在森林生态系统中,外生菌根(ECM)真菌普遍与植物根系共生以帮助宿主植物获取土壤养分和水分,作为交换,植物会分配光合产物到外生菌根菌丝(extensive extrametrical mycelium, EEM)以满足其生长和功能发挥。研究表明EEM的生长依赖于宿主植物碳分配,现存EEM生物量也与菌根真菌菌丝类型、菌丝周转和产出密切相关。然而,关于EEM生物量、产出和周转率是否受树种和ECM 真菌群落组成的影响仍未可知。
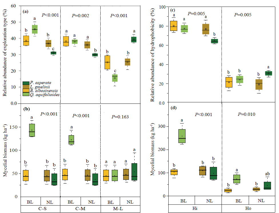
基于此,中国科学院成都生物研究所抗逆植物适应与筛选研究团队博士生谢路路(已毕业)在尹春英研究员的指导下,以西南亚高山四种优势树种:云杉(常绿针叶)、落叶松(落叶针叶)、高山栎(常绿阔叶)和红桦(落叶阔叶)为研究对象,通过菌丝袋填埋和取样,分析菌丝生物量、产出和周转,并结合ECM群落组成(探索类型),探究外延菌丝特征和ECM真菌群落组成随树种的变化规律及二者之间的关系。主要研究结果:1)ECM真菌群落组成在针叶和阔叶、常绿和落叶树种间存在差异:中-长探索类型菌根在常绿、阔叶树种占优势,而短距离和接触型菌根真菌类型在落叶、针叶树种占优势;2)EEM生物量在细根生物量的占比约10%,且树种间无显著差异,细根生物量越大,EEM生物量越大;3)外生菌根菌丝探索类型影响着菌丝产量和周转率:与其他树种相比,高山栎表现出较高的细根生物量、菌丝生物量及产出,ECM群落组成以周转快的接触-短探索型为主;而云杉的菌丝生物量和产出最低,以周转快的中-长探索型为主。该结果证明了ECM 真菌探索类型在估算菌丝生物量、乃至森林碳汇和碳储存的重要性。
上述研究结果以“Extramatrical mycelial biomass is mediated by fine root mass and ectomycorrhizal fungal community composition across tree species”为题发表在《Science of the Total Environment》。成都生物研究所已毕业博士谢路路为论文第一作者,尹春英研究员为论文通讯作者。该研究得到国家自然科学基金(No. 32071500)和中国科学院战略性先导科技专项(No. XDA26010102)等项目联合资助。

图1. 不同树种基于外生菌根群落探索类型和疏水性能的相对丰度和菌丝生物量

图2. 外生菌根菌丝性状与根系属性变量和外生菌根群落组成的关系。

图3.概念模型:外生菌根菌丝产量与外生菌根探索类型和细根生物量的关系
