巨桉 (Eucalyptus grandis)属桃金娘科桉属,原产于澳大利亚,喜光、温润气候,生长迅速,在适宜的生长条件下,平均每天可长高3厘米。由于其生长十分迅速,因此,是世界上主要的人工用材树种,在世界适宜气候区广泛种植。在我国,巨桉广泛种植于广西、广东、四川、云南等省,为我国提供了一半以上的国产木质原材料。
在全球气候变化的背景下,气温和降水的变化将增加未来干旱的频率和强度,从而提高森林的死亡率。全球干旱胁迫的增加可通过干扰土壤中的养分再分配从而影响林木的生长和可持续性。以往的研究探讨了养分对森林树种生长的影响,但很少有研究关注施肥在树种抗旱能力中的作用。
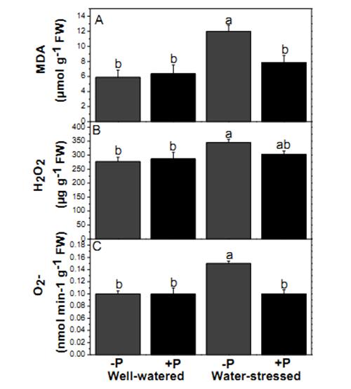
中国科学院成都生物研究所生态过程与生物多样性保育学科团组来自巴基斯坦的博士研究生Akash Tariq在博士生导师潘开文研究员的指导下,研究了两种水分状况(水分充足和水分胁迫)和磷施用(有磷和无磷)对巨桉形态和生理生化反应的影响。研究表明,干旱对巨桉生长和代谢有负面影响,如形态特征改变,降低了净光合速率(Pn)、色素浓度、叶片相对含水量(LRWCs)和含氮化合物,以及活性氧(ROS)的过量产生和较高的脂质过氧化。然而,巨桉同时也表现出有效的抗旱策略,如减少叶面积和蒸腾速率,增加可溶性糖和脯氨酸的积累,以及增强抗氧化酶系统。施磷对水淹幼苗有促进作用,表现为植株生长和光合作用得到改善,表明巨桉生长初期对磷的需求较高。在干旱胁迫下,施磷对幼苗形态性状无明显影响,但显著提高了叶片相对含水量(LRWCs)、光系统的量子效率II(Fv/Fm)、净光合速率(Pn)、叶绿素色素、含氮化合物以及减少脂质过氧化。施磷改善了巨桉苗期水分充足条件下的生长发育,同时也改变了干旱条件下叶片的一些生理生化过程,有利于巨桉抗旱。 结果表明,在应对未来持续增加的干旱胁迫下,合理施用磷肥能够促进巨桉生长和产量提高,可以提高巨桉的抗旱能力。研究结果对巨桉苗木培育、管理,尤其应对干旱胁迫具有十分重要的指导意义。
该研究获得国家重点研发计划(Grant Nos. 2016YFC0502101,2015BAD07B050304),国家自然科学基金 (Grant Nos. 31370632,31500517)和 CAS-TWAS的资助。近日以Impact of phosphorus application on drought resistant responses of Eucalyptus grandis seedlings为题在线发表于植物生理生态期刊Physiologia Plantarum上。

巨桉人工林
施磷对巨桉抗旱能力的影响
