桢楠(Phoebe zhennan)是一种生长缓慢的重要森林树种,为我国二级珍稀保护植物。分布于亚热带常绿阔叶林区西部,主要生长在海拔1500米以下。桢楠是一种受到威胁的优质木材生产树种,面临着严重的人为干扰和非生物因素的胁迫。前期,中国科学院成都生物研究所潘开文课题组对桢楠抗旱性进行了较为系统的研究,发现施磷可以通过调节桢楠叶片的生理生化过程从而提高其耐旱能力,这些结果对于濒临灭绝的桢楠林的保护和资源培育具有十分重要的现实意义。然而,在不同水分状况条件下,很少有研究施氮对桢楠生理生化反应的影响及其机制。因此,在全球气候变化背景下,有必要进一步研究桢楠对干旱的响应机制以及保护和培育桢楠林的有效措施。
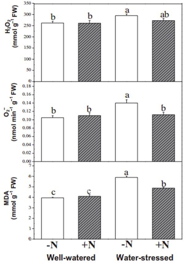
中国科学院成都生物研究所生态格局和过程研究组来自巴基斯坦的博士研究生Akash Tariq在博士生导师潘开文研究员的指导下,研究了在两种水分状况(水分充足和干旱胁迫)下,施氮对桢楠幼苗生理生化反应的影响。研究显示,干旱胁迫对桢楠幼苗生长有显著的影响,具体表现为光合作用受损、色素降解、氮代谢紊乱、活性氧物质生成过剩和脂质过氧化增强等。在干旱胁迫下,施氮通过调节生理生化过程对桢楠生长有显著的正效应,这表明含氮化合物水平较高以及氮相关代谢酶活性的上调可能是由于氮介导的叶片相对含水量和光合效率的提高所致。此外,施氮可减少氧化应激和膜损伤,维持渗透液的高积累。而在水分充足的幼苗中,施氮显著提高了根系生物量和净二氧化碳同化效率,表明桢楠幼苗具有较高的氮素利用效率。以上研究结果表明,干旱对桢楠的生长有显著影响,而施氮主要通过在低代谢成本下提高其抗旱潜力,在减轻水分胁迫损害中起着至关重要的作用。因此,在未来气候变化的背景下,施氮可作为桢楠幼苗应对干旱胁迫的有效经营措施,提高桢楠的抗旱能力。
该研究获得国家重点研发计划(Grant Nos. 2016YFC0502101,2017YFC0505000)和CAS-TWAS的资助。近日以Role of nitrogen supplementation in alleviating drought-associated growth and metabolic impairments in Phoebe zhennan seedlings为题在线发表于国际期刊Journal of Plant Nutrition and Soil Science上。
施氮对桢楠抗旱能力的影响
桢楠幼苗
