微生物异养硝化和好氧反硝化(HN-AD)的发现进一步完善了氮循环途径。由于其生长速度快、活性高、增殖底物广泛、能同时进行有机物降解和生物反硝化的特性,克服了传统生物反硝化技术的缺点,具有重要的工程应用价值。目前关于HN-AD菌株的研究多集中于菌株筛选和小试废水处理,鲜有除臭领域的研究报道。
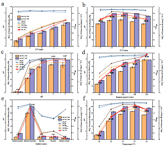
中国科学院成都生物研究所污染生物治理项目组研究生宦臣臣在吕青阳博士、闫志英研究员的指导下,从活性污泥中筛选出一株高效HN-AD菌株HY-1,鉴定为Paracoccus denitrificans,并将其应用于生物滴滤反应器(BTF)进行除臭研究。结果表明,HY-1对NH4+、NO2-和NO3-的去除速率分别为17.33 mg-N·L-1·h-1、21.83 mg-N·L-1·h-1和32.37 mg-N·L-1·h-1,且对不同比例的混合氮源均有较好的去除效果;同时,HY-1在厌氧条件下也能以14.56 mg-N·L-1·h-1的速率执行反硝化功能。结合菌株脱氮特性、氮平衡和功能基因分析,确定了HY-1在好氧条件下的硝化-反硝化代谢途径。最后,将菌株HY-1应用于堆肥厂的BTF中进行除臭效果强化验证,结果表明在BTF中接种HY-1不仅能保持高效除臭效果(NH3去除率>98.07%),而且能大幅度降低循环液中NH4+和NO3-的离子浓度,有效地控制了二次污染,节约了BTF的除臭成本。这些发现拓展了HN-AD菌株的应用领域,为生物除臭提供了新的思路。
该研究成果以宦臣臣为第一作者、吕青阳博士为通讯作者发表在国际期刊Bioresource Technology(IF=11.889)上。本研究得到四川省科技计划项目(NO.2021ZDZX0012)、中国科学院“西部之光”项目(2019XBZG_JCTD_ZDSYS_001)、四川省科技计划项目(2022JDTD0027)和山西省重大研发计划项目(No.201903D211013-2)的支持。

图1 菌株HY-1以NH4+为氮源的单因素优化

图2菌株HY-1在厌氧条件下的单因素优化及反硝化分析

图3 不同条件下菌株HY-1的氮平衡分析

图4 菌株HY-1在BTF中的除臭应用
